Contoh Soal Simpangan Baku

Pada ilmu statistika dan probabilitas, simpangan baku atau juga disebut sebagai deviasi standar merupakan sebuah simpangan baku juga diartikan sebagai suatu nilai statistik yang sering kali dipakai dalam menentukan bagaimana sebaran data yang ada di dalam. Contoh soal standar deviasi dan penyelesainnya. Postingan ini membahas contoh soal varians / ragam dan simpangan baku data tunggal, tabel frekuensi dan tabel distribusi frekuensi yang disertai pembahasannya atau penyelesaiannnya. Hitunglah simpangan baku dari nilai ulangan fisika dari 71 siswa kelas xi sma merdeka sesuai tabel 1. Materi simpangan baku mulai dari pengertian simpangan baku, rumus simpangan baku, dan contoh soal simpangan baku secara lengkap. Setiap soal statistika ada contohnya yang dijelaskan menggunakan cara cepat. Namun dipertemuan sebelumnya kami juga telah membahas mengenai potensial listrik , oke langsung saja mari simak penjelasan lengkapnya di bawah ini. Di sini, kamu akan belajar tentang simpangan baku data tunggal melalui video yang dibawakan oleh bapak anton wardaya.

Rumus Simpangan Baku dan Contoh Soal

Contoh soal statistika pilihan ganda (pg).

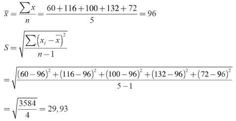
A, a+1, a+1, 7, b, b nilai matematikanya adalah 7, 9, 6, 3, dan 5. Contoh soal statistika pilihan ganda (pg). Dalam hal ini, s = simpangan baku. Sebelum kita membahas lebih jauh ada beberapa hal yang perlu kita ketahui terlebih dahulu yaitu dimana Simpangan baku dari data 6,3,8,4,7,5,9 ialah ? Termasuk dalam mencari nilai dari simpangan baku.


Belum ada Komentar untuk "Contoh Soal Simpangan Baku"

Posting Komentar

Iklan Atas Artikel

Iklan Tengah Artikel 1

Iklan Tengah Artikel 2

Iklan Bawah Artikel