Contoh Soal Suku Tengah

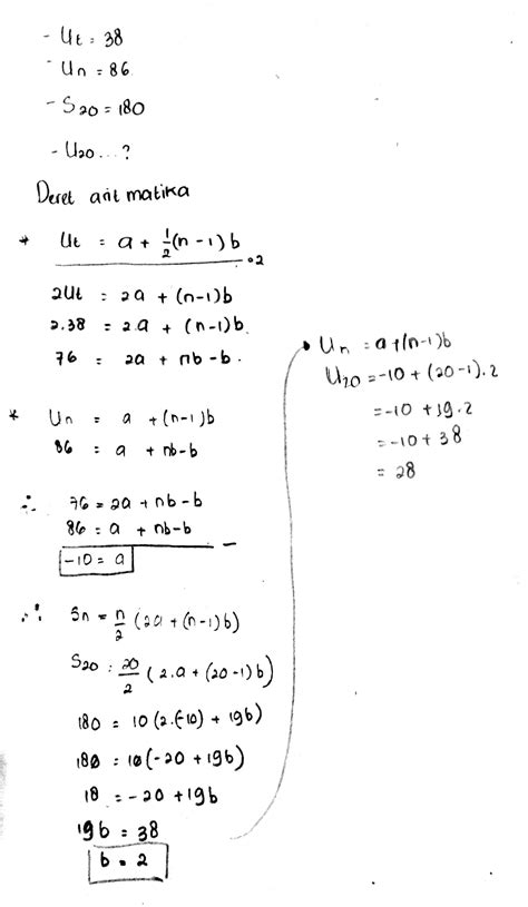
Jika suku terakhir deret tersebut adalah 170, maka. Bahkan tidak hanya itu, kami juga menyertainya dengan tips dan trik dalam menjawabnya, yakni tips menjawab sebuah pertanyaan atau soal cpns dengan tepat. Suku tengah dan sisipan pada barisan aritmatika, beserta rumus dan contoh soal. Diketahui suku banyak nilai f(x) untuk x = 3 adalah. Contoh soal untuk suku tengah : Diketahui suku tengah suatu barisan aritmatika sama dengan 20, suku terakhirnya sama dengan 38, dan suku keempatnya sama dengan 11. Tentukanlah suku tengah dari barisan aritmatika : Sebelum lanjut, tentunya kamu harus tau dulu apa sih dari eksperimen ini dapat kita tarik kesimpulan bahwa rumus suku tengah barisan geometri adalah akar dari perkalian suku pertama dan suku terakhir.

40 Soal + Jawaban Keberagaman Suku Bangsa dan Budaya (IPS ...

Mengutamakan kepentingan umum di atas kepentingan pribadi dan golongan.

Derajat suku banyak dan hasil bagi dan sisa pembagian. Dengan teman yang berbeda suku bangsa kita harus. Tempat pelaksanaan tes bahasa arab online. Dimanakah sunan giri ditugaskan menyiarkan agama islam oleh sunan ampel. Tetapi bagaimana kalau menjumlahkan barisan aritmatika sampe suku ke 100, wah kok jadi sulit ya. Sisipan dan suku tengah pada barisan.


Belum ada Komentar untuk "Contoh Soal Suku Tengah"

Posting Komentar

Iklan Atas Artikel

Iklan Tengah Artikel 1

Iklan Tengah Artikel 2

Iklan Bawah Artikel