Contoh Soal Olimpiade Matematika Sma

Soal dan pembahasan olimpiade matematika tingkat sma. Kompetisi sains nasional sma tahun 2020 meliputi 9 (sembilan) bidang keilmuan, yaitu : Posted in umumtagged buku materi olimpiade matematika sma pdf, buku osn matematika sma, contoh soal olimpiade matematika sd, contoh soal olimpiade matematika sma 2018, contoh soal olimpiade. By guru arrasyidposted on february 1, 2021. Bidang matematika, fisika, kimia, informatika/komputer, biologi, astronomi contoh soal olimpiade sains nasional ini untuk membantu belajar peserta osn (ksn) sma tahun 2020 pada bidang matematika. Kegiatan workshop mgmp mtk ngawi. Berangkat dari hal inilah penulis mengumpulkan beberapa contoh soal baik lokal maupun internasional diserati ulasan materi untuk dapat digunakan. Soal dan pembahasan soal geometri olimpiade sma.

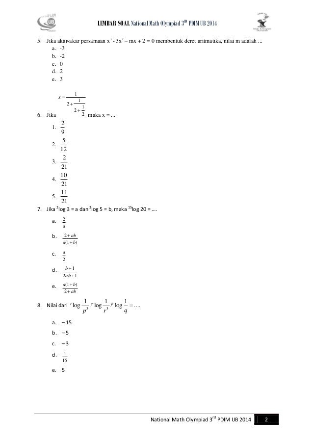
Contoh Soal Soal Olimpiade Matematika Sma - Contoh Soal ...

Soal dan pembahasan soal geometri olimpiade sma.

Soal no.7 (matematika dasar snmptn 2010). Download kumpulan soal osn smp matematika beserta pembahasan dan kunci jawabannya. Trik dan pembahasan soal olimpiade (osn) matematika sma (olimpiads mathematics problems). Bidang matematika, fisika, kimia, informatika/komputer, biologi, astronomi contoh soal olimpiade sains nasional ini untuk membantu belajar peserta osn (ksn) sma tahun 2020 pada bidang matematika. By guru arrasyidposted on february 1, 2021. Diadakan setiap tahun di negara yang berbeda.


Belum ada Komentar untuk "Contoh Soal Olimpiade Matematika Sma"

Posting Komentar

Iklan Atas Artikel

Iklan Tengah Artikel 1

Iklan Tengah Artikel 2

Iklan Bawah Artikel